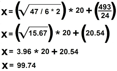
For B3KR we plug in the following values:
------------------------------------------
e = 47
n = 6
s = 2
d = 20
Z = 562
L = 16
and we come up with:
So it looks like B3KR has a 99.74% chance of being a huge loser.
P.S. Pro Bunsen stressed to me that this formula will not work for anyone other than B3KR because they would have zeros for every variable.

That equation is great. It is amazing how by my calculations that works out to the same percent that:
ReplyDelete1. JBB has to play video games under the covers
2. Goat Diapers dies a virgin
3. Black Cadillac experimented with a dude in college
4. The HIV will throw a cup of beer in B3KR's stupid face if he ever saw him at a sporting event
That equation is great. It is amazing how by my calculations that works out to the same percent that:
ReplyDelete1. The HIV wants to go down on Spike Lee.
2. The HIV is scared of "The B3KR".
That equation IS great. When I apply my newest parameters, we find that works out to the same percent that:
ReplyDelete1.GD just cut and pasted my idea and tried to be funny
2.People who thought it was not funny anyway (Amazingly, GD was the only one out of about 385 people that did, hence the .26)